Volver a la lista

Comunicación de fincas propiedad del Estado

INFORMACIÓN GENERAL

07-Abril-2026 14:00

Imagen de evento

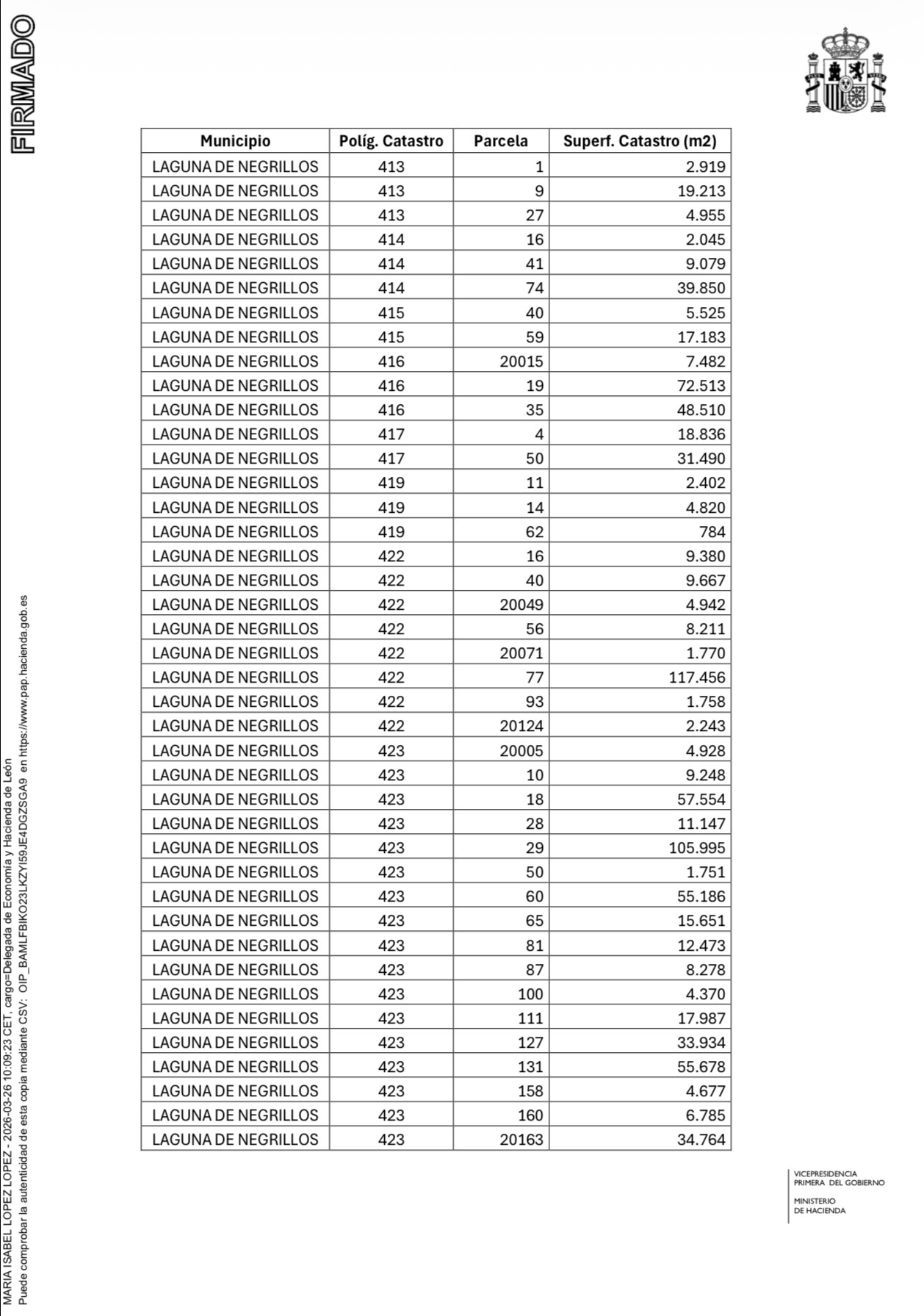
El Servicio de Agricultura y Ganadería de la Junta de Castilla y León ha adjudicado al Estado las siguientes fincas procedentes de desconocidos de la Concentración Parcelaria de Páramo Bajo-Demarcación N°7 (León) en el municipio de Laguna de Negrillos.


Si alguna persona estuviera interesada en la adquisición de alguna de las fincas relacionadas, deberá solicitarlo en la Sección de Patrimonio de la Delegación de Economía y Hacienda de León situada en Avda. Ordoño II, 29 de León o en el teléfono 987 87 62 40.

Lo que se comunica para conocimiento general.

Más imagenes: